Kabelio skerspjūvis, elektros apkrovos nustatymas ir kabelių skerspjūvio skaičiavimas.

Montuojant naują elektros instaliaciją arba keičiant seną elektros energijos paskirstymo tipą TN-C į TN-C-S arba TN-S sistemą, labai dažnai tenka suskaičiuoti reikalingą kabelio skerspjūvio plotą. Kabelio skerspjūvis - tai kabelio viduje esančio laidininko (dažniausiai vario arba aliuminio) skerspjūvio plotas, kuris matuojamas kvadratiniais milimetrais (mm²). Jis rodo, kokio storio yra laidininkas viduje, o tai tiesiogiai lemia, kiek elektros srovės kabelis gali saugiai perduoti. Kadangi kabeliai paprastai turi ne vieną laidininką arba gyslą, nurodomas vienos gyslos skerspjūvis. Pavyzdžiui, 3×2,5 mm². Tai reiškia, kad kabelis turi tris laidus, kurių kiekvieno plotas yra po 2,5 mm².
Kodėl svarbus kabelio skerspjūvis
Kad elektros instaliacija atitiktų poreikius ir būtų saugi, svarbu parinkti reikiamo skersmens kabelius. Tai svarbu dėl srovės apkrovos - kuo didesnis skerspjūvis, tuo didesnę srovę neperkaisdamas gali praleisti kabelis. Dėl įtampos kritimo - ilgos grandinės kabeliams mažesnis skerspjūvis lemia didesnį įtampos kritimą. Taip pat dėl saugumo - per plonas kabelis esant dideliam apkrovimui gali įkaisti ir sukelti gaisrą. Tiksli leistina srovės apkrova priklauso nuo kabelio tipo, montavimo būdo ir aplinkos sąlygų.
Tačiau tipinis kabelio skerspjūvis toli gražu ne visur pritaikomas ir tenka apskaičiuoti reikalingą jo plotą, kad būtų pasirinktas reikiamas kabelis. Kabelio skerspjūvio skaičiavimas apima kelis pagrindinius aspektus, jis gali būti skaičiuojami skirtingais būdais, priklausomai nuo taikymo srities.
Pirmiausia reikia atsižvelgti į reikalingą srovės apkrovą - kokią didžiausią srovę kabelis gali perduoti be perkaitimo. Įvertinama:
● Apkrovos (vienfazis ar trifazis) ir maksimali apkrovos galia
● Kabelio izoliacijos tipas (PVC, XLPE ir kt.)
● Klojimo būdas (ore, žemėje, vamzdžiuose ir kt.)
● Aplinkos temperatūra (viduje paprastai standartinė)
● Korekcijos koeficientai (dėl temperatūros, kabelių grupavimo ir kt.)
Naudojamos normos - IEC 60364, VDE 0298, Lietuvos elektrotechnikos standartai (pvz., LST EN 60287).
Skaičiuojamosios elektros apkrovos vidinei instaliacijai, kuria persiunčiama elektros energija
gyvenamųjų pastatų ar patalpų apšvietimo elektros įrenginiams apskaičiuojama pagal formulę:
P SkA =KPA x Σ PVard, kW.
Kur KPA - apšvietimo elektros įrenginių paklausos koeficientas, Σ PVard - apšvietimo elektros įrenginių įrengtoji galia (vardinių galių suma), kW. Laikoma, kad gyvenamosios paskirties pastatų norminės elektros apkrovos yra:

Tačiau, pavyzdžiui, jei numatoma įrengti elektromobilio įkrovimo stotelę, jai gali reikėti iki 11 kW norminio galingumo.
Dažniausiai pasitaikantys kabelių skerspjūviai tinkami maksimaliai apkrovai:
|
Kabelio skerspjūvis (mm²) |
Maksimali apkrova (A) |
Tipinis panaudojimas |
|
1,5 mm² |
~10-16 A |
Apšvietimas |
|
2,5 mm² |
~16-25 A |
Lizdai, buitinė technika |
|
4 mm² |
~25-32 A |
Elektros viryklės, stipresnės apkrovos |
|
6 mm² |
~32-40 A |
Boileriai, trifaziai įrenginiai |
|
10 mm² ir daugiau |
>40 A |
Pagrindiniai įvadai, galingi elektros varikliai |
Supaprastintai skaičiuojama, kad minimalus 1,5 mm² skersmens kabelis tinka 1 kW apkrovai. Jeigu skaičiuojama aliuminio kabelio skerspjūvis, norint, kad jis atitiktų vario ekvivalentą, aliuminio gyslos skersmenį reikia padidinti 60 procentų. Rekomenduojama rinktis šiek tiek didesnį skersmenį negu rodo pirminiai skaičiavimai - atsargai, jeigu padidės apkrova dėl papildomai prijungtų prietaisų. Taip pat žinotina, kad Elektros linijų ir instaliacijos taisyklėse yra nurodyti mažiausi leistinieji laidų ir kabelių skerspjūviai:
|
Instaliacijos sistema |
Grandinės |
Laidininkai |
||
|
medžiaga |
skerspjūvis, mm2 |
|||
|
Stacionarioji instaliacija |
Kabeliai ir izoliuoti laidininkai |
Galios ir apšvietimo grandinės |
Varis Aliuminis |
1,5 2,5* |
|
Signalizacijos ir kontrolės grandinės |
Varis |
0,5** |
||
|
Neizoliuoti laidininkai |
Galios grandinės |
Varis Aliuminis |
10 16 |
|
|
Signalizacijos ir kontrolės grandinės |
Varis |
4 |
||
|
Izoliuotų laidų ir kabelių lanksčiosios jungtys |
Specialiųjų įrenginių ir kontrolės prietaisų grandinės |
Varis |
0,75 |
|
|
Kitoks pritaikymas |
0,75*** |
|||
*Operatoriaus tinkle mažiausias skerspjūvis - 16 mm2. Aliumininių laidininkų jungtys turi būti išbandytos ir aprobuotos naudojant konkrečiai.
**Signalizacijos ir kontrolės grandinių laidininkų, jungiamų prie elektroninių prietaisų, mažiausias skerspjūvis - 0,1 mm2.
***Signalizacijos ir kontrolės grandinių lankstiesiems septynių ir daugiau gyslų kabeliams, jungiamiems prie elektroninių prietaisų, mažiausias skerspjūvis - 0,1 mm2.
Trifazių apkrovų atveju gali būti tiesiamas 4 arba 5 laidų kabelis (3 fazės, nulinis laidas ir kartais apsauginis laidas). Bet kuriuo atveju apskaičiavimui imamas kiekis iš 3 laidų (nulinis laidas neįskaitomas). Vienfazės apkrovos atveju tiesiamas 2 ar 3 laidų kabelis (fazė, nulis, apsauginis/įžeminimo laidas). Laidų kiekis apskaičiavimui - 2. Jeigu laidai yra paslėpti sienos ertmėje elektrotechniniame vamzdyje, tuomet pasirinkimui svarbu žinoti visų laidų, bendrai nutiestų viename vamzdyje, kiekį.
Kabelio skerspjūvio nustatymas
Vienfaziame tinkle, kai elektros srovė 230 V galima apytiksliai paskaičiuoti pagal supaprastintą formulę:
I = P - K
U-cos ϕ
P - apkrovos galia, W; U - įtampa tinkle, 230 V; K - vienalaikiškumo koeficientas (pavieniai apkrovai - 1, apkrovų grupei - 0,75); cos ϕ - aktyvios galios koeficientas (buitiniams elektros prietaisams - 1).
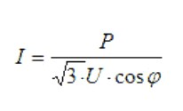
Trifaziame tinkle su 380 V įtampos srove preliminariai skaičiuojama pagal kitą supaprastintą formulę:

P - apkrovos galia, W; U - įtampa tinkle, 380 V; cos ϕ - aktyvios galios koeficientas (nurodytas el. prietaisų techniniame pase).
Kai laidininkas nėra monolitinis, t. y. turi kelias gyslas, pavyzdžiui - 4, reikia pamatuoti vienos gyslos skersmenį ir padauginti iš gyslų skaičiaus laidininke (plonesnės gyslos matuojamos slankmačiu). Tokiu atveju skaičiuojama pagal panašią formulę:
𝑆 = 14 · π·𝑑2 / 4 = 4 · 0,785 · 𝑑2
S - laidininko plotas, d - vienos laidininko gyslos skersmuo, o 4 - pateiktų gyslų skaičius laidininke (jis nustatomas suskaičiuojant gyslas).
Gautą laido skersmenį reikia suapvalinti į didesnę pusę iki artimiausio standartinio skersmens, nurodyto lentelėje. Minimalus skersmuo variniams laidams - 1,5 mm²; aliumininiams - 16 mm².
Šios kabelio skerspjūvio skaičiavimo formulės yra supaprastintos, nes neatsižvelgiama į daugybę kitų faktorių: pastato tipą, lauko ir aplinkos sąlygas, kabelio montavimo būdą ir grandinės ilgį - šie faktoriai yra labai svarbūs teisingam rezultatui. Elektros kabelio skerspjūvio skaičiavimui reikalinga apskaičiuoti įtampos kritimą, naudoti įvairius koeficientus
Daug patikimesnė yra kabelių skerspjūvio skaičiavimo programa CableApp, sukurta kompanijos "Prysmian", gaminančios elektros laidus ir kabelius. Programa per kelias sekundes atliks sudėtingus apskaičiavimus ir dar pasiūlys tinkamą „Prysmian" kabelio tipą, atitinkantį jūsų poreikius ir sąlygas. Programėlę galima atsisiųsti iš cableapp.lt
ASA.LT informacija parengta bendradarbiaujant su „Prysmian"
Geriausi temos straipsniai
Antibakterinis šviesos jungiklis
Antibakteriniai jungikliai, jungikliai su sidabro jonais, biocidiniai produktai
Apsauga nuo žaibo
Franklino žaibolaidžiai, aktyvieji žaibolaidžiai, apsaugos nuo žaibo sistema, skirtumas tarp tradicinio ir aktyviojo žaibolaidžio
Apšvietimo valdymas ir reguliavimas
Jungiklių ir šviestuvų pajungimo schemos, šviesos reguliavimo pajungimo schemos. Jungikliai, perjungikliai, šviesos reguliatoriai, išplėtėjai.
Automatiniai vartai
Automatinių garažo vartų tipai, automatinių garažo vartų įrengimas, kokius automatinius vartus rinktis,
Belaidė namo valdymo sistema
Paprastesnis ir visiems prieinamas būdas protingiems namams įsirengti - decentralizuotas belaidis tinklas. Nereikia atskirų laidų ir instaliacijos, netgi interneto. Sistemos valdymas vyksta programėle, be interneto.
Darbo vietos patalpos viduryje įrengimas
Kaip darbo vietas centriniuose patalpos plotuose aprūpinti komunikacijomis, jei biuro patalpos didelės ir nesuskaidytos pertvaromis?
Durų kontrolės ir valdymo įranga
Durų valdymo elementai
Elektriko studijos kolegijoje
Elektriko profesijos perspektyvos, ar verta rinktis elektriko profesiją, kur mokytis elektriko specialybės
Elektros instaliacija
Instaliacinės medžiagos - kabeliai, laidai, instaliaciniai vamzdžiai, elektros skydeliai, montažinės dėžutės ir kt. Elektros įranga bei komplektai vidaus ir lauko tinklams.
Elektros instaliacija name
Elektros instaliacijos projektas, kaip suprojektuoti elektros instaliaciją, jungiklių, rozečių, šviestuvų projektavimas name,
Produktas kategorijos apacioje
| Paveikslėlis | Pavadinimas | Trumpas aprašymas | Kaina |
|---|---|---|---|
|
|
Elektros darbai Vilnius | Elektros Instaliacijos Darbai Vilniuje, Senos Elektros Instaliacijos Keitimas Vilnius, Elektros Instaliacijos įrengimas Vilnius, Elektros Instaliacija Name Vilnius, Elektros Instaliacija Bute Vilnius, Elektros Instaliacijos Darbai Kaina Vilnius | |
|
|
Elektros instaliacijos kaina | Elektros Instaliacijos Darbų Kaina, Apšvietimo įrengimo Kaina, Laidų Tiesimo Kaina | |
|
|
Elektros instaliaciniai laidai Vilniuje | Visos Elektros Instaliacijos Prekės Vilniuje Iš Vienų Rankų | €0.00 |
|
|
JUNG jungiklių sistema "A Creation" | Jungikliai, Rozetės, Temperatūros Jutikliai, Judesio Jutikliai | €0.00 |
|
|
JUNG sensorinis jungiklis | Sensoriniai Jungikliai | €0.00 |
|
|
Kabelio skersmens skaičiuoklė Prysmian | Prysmian Kabelio Pasirinkimo Ir Apskaičiavimo Programa Pagal Kabelio Tipą, Pastato Kategoriją Ir Montavimo Būdą | €0.00 |
|
|
Protingo namo sistemos | Sistema Kontroliuoja Ir Valdo Apšvietimo, Užtamsinimo, šildymo, Vėdinimo Ar Saugos Funkcijas | €0.00 |
|
|
Protingo namo sistemos | Sistema Kontroliuoja Ir Valdo Apšvietimo, Užtamsinimo, šildymo, Vėdinimo Ar Saugos Funkcijas | €0.00 |
|
|
REHAU gaminamas elektros instaliacinis kanalas signo BS iš plieninių lakštų | Iš Plieninių Lakštų Gaminamas Rehau Elektros Instaliacinis Kanalas Signo Bs Sujungia Meistriškumą Su Laiko Patikrinta Kokybe | |
|
|
Saulės elektrinės įrengimas Kaune | Saulės Elektrinių Montavimas Kaunas, Saulės Elektrinių Inverteriai, Moduliai, Kaupikliai Kaune | |
|
|
Saulės elektrinės įrengimas Vilniuje | Saulės Elektrinės Montavimas Vilnius, Saulės Moduliai Vilnius, Saulės Elektrinės Inverteriai Vilniuje | |
|
|
Savireguliuojantys šildymo kabeliai - vamzdynų, latakų ir lietvamzdžių apsauga nuo užšalimo | Latakų Apsauga Nuo Užšalimo Ir Varveklių | €0.00 |
|
|
Įleidžiamas ir užtinkuojamas apšvietimas | Integruotas į Interjerą Apšvietimas Led Profilis Kozel | €0.00 |
Verslo skelbimai
Naujausi įmonių verslo skelbimai
Straipsniai
Instrukciniai straipsniai abėcėlės tvarka
ASATV kanalo filmai
Rozetės montavimas
Rozetės montavimas, rozetės jungiklių instaliavimas
Šildomų grindų įrengimas
Lengvai suprantamas šildomų grindų įrengimas kambaryje